IMDランキング結果(2023年)、HS-TECH作成
国際経営開発研究所(IMD)[1]は世界各国の競争力を評価する年次報告書を公表しています。2023年報告書では64の国と地域が対象となった。この総合評価でデンマークが1位、タイは30位、日本は35位でした。
日本は調査対象となった64の国と地域中、大分類「ビジネスの効率性」中の小分類で最下位が5項目もありました。特に我が国の文化(National culture)が最下位とはいったいどのような判定基準に基づくのでしょうか。
[1] スイスの本拠を設置するビジネススクール https://www.imd.org/about/about-us/
一部の論者はIMDの断片的で極端なデータを引用し、日本の凋落振りを強調します。
そのアプローチは納得性が高いですか?
さらに解析を進めると、IMD側の”意図”が見えてきそうです。
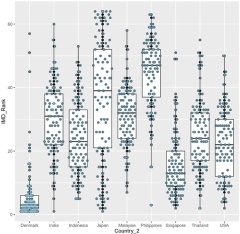
そこで弊社は全評価項目(小分類)の順位を国ごとに箱ひげ図にて可視化してみました(上図)。
その結果、日本が特異的に最下位付近の評価項目が多いことがわかります。
主要国を並べて鳥瞰的に眺めることで、新たな視点が出てきます。
弊社は解析容易な形式によるデータベースの構築、データの可視化も得意としております。
地理データ(geospatial data)からの可視化、解析(モランI統計解析等)もご提供できます。
データベースの一例(インドネシア、HALAL認証が必要な製品リスト)
インドネシア語を英語および日本語に機械翻訳
ご参考
IMDランキング:2024年
https://www.imd.org/centers/wcc/world-competitiveness-center/rankings/world-competitiveness-ranking/
以上


